How to Win Elections in a Dynamically Evolving Electorate
Politicians use various strategies to garner voters and win elections. While polling tactics can help measure public opinion on different topics, that opinion may shift over time; as such, once-popular viewpoints may not accurately reflect the overall, present sentiment of the electorate. Building on our existing research [3], we explore a simplified mathematical model of this political process to reveal unexpected phenomena [2, 5, 6].
One of our most relevant findings pertains to mandatory versus non-mandatory voting. We found that if everyone is made to go out and vote, then a candidate’s optimal strategy involves remaining at the center of the political spectrum [2, 5]. This result aligns with a well-known theorem in political science known as the median voter theorem, which suggests that a majority-rule voting system will select the outcome that is most preferred by the median voter [1]. But if voting is not mandatory, then candidates might benefit from taking an extreme position under certain conditions. The underlying mechanism of this conclusion is a saddle-node bifurcation [2, 3, 5].
For the sake of simplicity in our corresponding model, we assume that we can represent each voter’s or candidate’s political stance with a single number, where negative and positive values respectively indicate left- and right-wing views. We use \(f(x,t)\) to denote the density of opinions, since density will also change with time. Specifically, we develop a particle method for continuous Hegselmann-Krause dynamics that comprises the background of voters’ opinion change [4]. Consider the initial opinion distribution in Figure 1, where initial clusters tighten at first but also begin to move towards one another and eventually merge.
Consider two candidates who are competing for votes amidst ongoing changes in public opinion. In this scenario, we make slight simplifications to our modeling efforts. We consider two political candidates \(L\) and \(R,\) with political positions \(\ell\) and \(r\) where \(\ell<r.\) We are specifically interested in how these candidates might shift positions to increase their chances of winning an election. We assume that if a voter’s position \(x\) is closer to \(\ell\) than \(r,\) they will vote for \(L\) unless they abstain. Their probability of voting (not abstaining) is \(e^{-(x-l)^2/(2\gamma^2)},\) where \(\gamma>0\) is a new model parameter that measures voter loyalty. If \(\gamma\) is high, people are more likely to vote; if it is low, they might abstain. Consequently, the fraction of voters who will vote for \(L\) if the election takes place at time \(t\) is
\[S_L=S_L(\ell, r, t)=\int^{(\ell+r)/2}_{-\infty} f(x,t)e^{-(x-\ell)^2/(2\gamma^2)} dx.\]
Likewise, for the right candidate \(R\):
\[S_R=S_R(\ell, r, t)=\int^{\infty}_{(\ell+r)/2} f(x,t)e^{-(x-r)^2/(2\gamma^2)} dx.\]
We assume that \(L\) and \(R\) optimize their positions via continuous steepest descent:
\[\frac{d\ell}{dt}=\alpha\frac{\partial S_L}{\partial\ell}(l,r,t), \quad \frac{dr}{dt}=\beta\frac{\partial S_R}{\partial r} (l,r,t).\]
Here, \(\alpha\) and \(\beta\) are positive constants that measure the eagerness with which \(L\) and \(R\) adjust their positions to gain votes. Next, we vary some parameters and examine the resulting change in this system’s solutions.
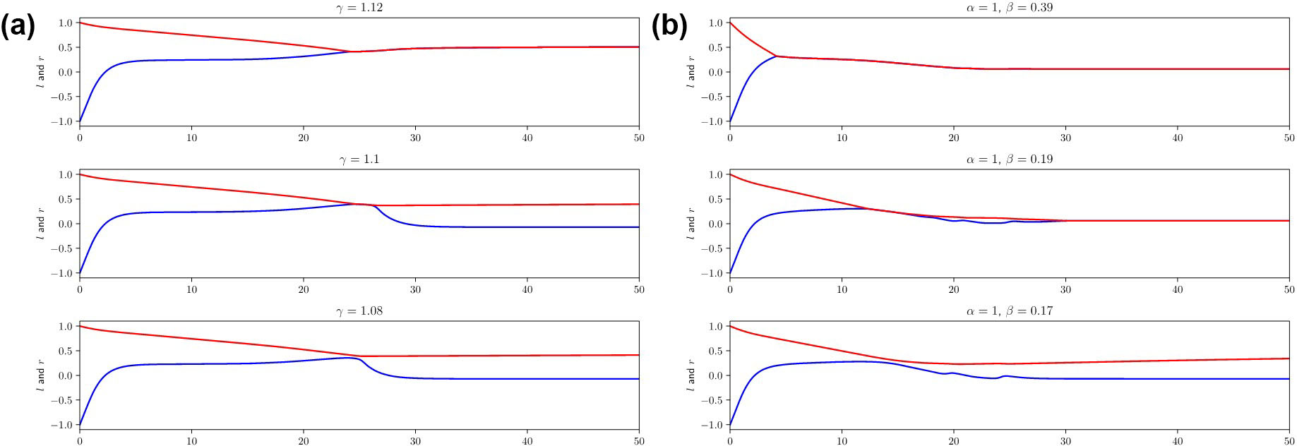
Figure 2a demonstrates the way in which a slight change in \(\gamma\) affects the candidates’ optimal positions — namely whether such positions are centrist and eventually merge, or whether they are more extreme and gradually separate. Similarly, if we control for everything but the right candidate’s eagerness, we notice that sometimes the two candidates come together in their optimal position, and sometimes they remain quite separate (see Figure 2b).
When dealing with a constantly changing electorate, these examples illustrate the ability of small shifts to bring about vastly different election outcomes. Our findings help to explain why the same campaign strategy can succeed for one candidate or at one point in time, and fail for another.
This article highlights ongoing research that belongs to an interdisciplinary and relatively new field that combines mathematics and democracy. In spring 2026, a five-day workshop titled The Mathematics of Elections, Fairness, and Representation will take place at the Banff International Research Station. We aim to foster more discussions and collaborations on this topic and welcome suggestions and feedback from readers.
Natasa Dragovic delivered a minisymposium presentation on this research at the 2025 SIAM Conference on Computational Science and Engineering, which took place in Fort Worth, Texas, this past March.
References
[1] Black, D. (1948). On the rationale of group decision-making. J. Polit. Econ., 56(1), 23-34.
[2] Börgers, C., Boghosian, B., Dragovic, N., & Haensch, A. (2023). A blue sky bifurcation in the dynamics of political candidates. Am. Math. Mon., 131(3), 225-238.
[3] Börgers, C., Dragovic, N., & Haensch, A. (2024, January 19). Political centrism and extremism: A mathematical analysis. SIAM News Blog. Retrieved from https://www.siam.org/publications/siam-news/articles/political-centrism-and-extremism-a-mathematical-analysis.
[4] Börgers, C., Dragovic, N., Haensch, A., & Kirshtein, A. (2024). A particle method for continuous Hegselmann-Krause opinion dynamics. In H. Cherifi, L.M. Rocha, C. Cherifi, & M. Donduran (Eds.), Complex networks & their applications: Proceedings of the 12th international conference on complex networks and their applications (pp. 457-469). Cham, Switzerland: Springer Nature.
[5] Börgers, C., Dragovic, N., Haensch, A., Kirshtein, A., & Orr, L. (2024). ODEs and mandatory voting. CODEE J., 17, 11.
[6] Börgers, C., Dragovic, N., & Kirshtein, A. (2025). Candidate voter dynamics. Preprint, arXiv:2505.03591.
About the Author
Natasa Dragovic
Assistant professor, University of St. Thomas
Natasa Dragovic is an assistant professor in the Department of Mathematics at the University of St. Thomas. She holds a Ph.D. in mathematics from the University of Texas at Austin. Dragovic’s research lies at the intersection of probability, dynamical systems, and social science, with a focus on mathematical modeling that examines changes in opinions over time.

Stay Up-to-Date with Email Alerts
Sign up for our monthly newsletter and emails about other topics of your choosing.


